翰林刷题,免费考试真题网站!
首页
关于我们
首页
›
分类
› 详情
_____________
作者:高老师
时间:2024-07-28
浏览 0
_____________
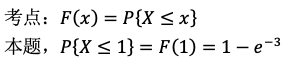
【正确答案】:
【题目解析】:
📱 扫码体验刷题小程序
扫一扫使用我们的微信小程序
热门题目
按照资本的运营形式,运营资本可以划分为()。
《陌上桑》的语言特色是()
在下列收入形式中,属于生产要素分配的收入是( )
成熟行业的主要特点不包括( )
对低档商品来讲,当价格下降时,下列表述正确的是
心理学对儿童游戏价值的研究,侧重了游戏对( )
texture这个单词的意思是()
根据我国上市公司信息披露相关规定,下列各项中属于定期报告的有
“在个人自然素质的基础上,受社会的影响而形成的稳固的心理特征的总和”被称为
试述办理货物托运时的注意事项。
清词中兴的表现是
目前采用的高血压诊断标准是在未使用抗高血压药的情况下()
➕
➖
📋
⬆️
已复制到剪贴板