翰林刷题,免费考试真题网站!
首页
关于我们
首页
›
分类
› 详情
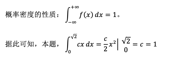
设随机变量X的密度函数为( )
作者:高老师
时间:2024-07-28
浏览 3
设随机变量X的密度函数为( )
【正确答案】:1
【题目解析】:
📱 扫码体验刷题小程序
扫一扫使用我们的微信小程序
热门题目
担保
采用直接观察法进行工作分析时,适合调查者观察的地方是()
我国改革中的政府劳动管理职能主要有哪些?
幼儿概念学习的基本形式主要是概念形成,由此决定了教师指导儿童概念学习的方法 主要有例证法和变式法两种。请设计一个幼儿学习某一概念
李さんは もう 寝ましたか。 ——はい、() 。
Officials say that this trade policy 【overhaul】 will help the ec
在进行企业盈利能力分析时,与投资有关的盈利能力分析指标包括
什么是市场法?市场法适用的前提条件是什么?优缺点有’哪些?
重置成本一般可分为复原重置成本和更新重置成本,一般来说复原重置成本()更新重置成本。
在资产评估报告中,应说明一切取价标准均为()
下列说法,正确的有()
试述仲裁的特点
➕
➖
📋
⬆️
已复制到剪贴板