翰林刷题,免费考试真题网站!
首页
关于我们
首页
›
分类
› 详情
作者:高老师
时间:2024-07-28
浏览 1
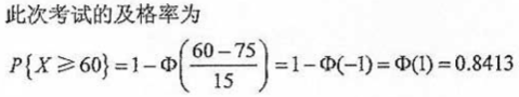
【正确答案】:
【题目解析】:
📱 扫码体验刷题小程序
扫一扫使用我们的微信小程序
热门题目
以为巡死而远就虏,疑畏死而辞服于贼
下列作品属于后现代主义建筑的有
在我国,跟一般工商企业有直接关系的广告管理制度有
试图通过解释环境刺激和个体行为的关系,来揭示游戏的生理机制的理论是( )
下列属于单步骤生产的是
Charlotte Bronte's works are all about the struggle of an indivi
Still, it was strange that they should have come to her while ye
《江雪》的作者是()。
轮椅在康复中的意义体现在()
苯二氮?类药物中毒的特异性解毒剂是
在分区存储管理方案中,操作系统采用三种算法查找和分配空闲区,即最先适应算法、________和________。
语句“delay(1000);”的主要功能是____。
➕
➖
📋
⬆️
已复制到剪贴板