翰林刷题,免费考试真题网站!
首页
关于我们
首页
›
分类
› 详情
作者:高老师
时间:2024-07-28
浏览 0
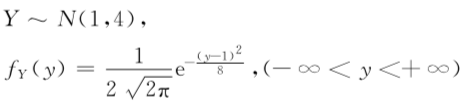
【正确答案】:
【题目解析】:
📱 扫码体验刷题小程序
扫一扫使用我们的微信小程序
热门题目
下列各项中,对货币资金余缺描述正确的是( )
简述幼儿园教师的职责。
________这一名称来源于西方,是指已婚夫妇与未婚子女组成的家庭。
头大、躯干长、四肢短小,胸围比头围小的形态特征是()
学前教育目标主要为工作的母亲照管儿童是( )
下列选项中,不属于政府财政会计净资产的是()
The prefix in-is changed to im-in improper;ir-in irreconcilable
设是3维列向量,且行列式则行列式( )
某评估机构采用统计分析法对一企业的固定资产进行评估,其中砖混结构建筑物10栋,账面原值500万元;设备100台,账面原值1000
企业生产按工艺特点划分可分为( )。
某企业2012年2月份生产甲产品200件,甲产品材料定额消耗量为5千克/件,本月实际耗用材料800千克,材料的计划单价为6元/千
简述适时生产系统的特点。
➕
➖
📋
⬆️
已复制到剪贴板