翰林刷题,免费考试真题网站!
首页
关于我们
首页
›
分类
› 详情
作者:高老师
时间:2024-07-28
浏览 0
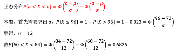
【正确答案】:
【题目解析】:
📱 扫码体验刷题小程序
扫一扫使用我们的微信小程序
热门题目
使潜在生产力变为现实生产力的关键是()
必要劳动时间不变,工作日绝对延长所生产的剩余价值是()
按照网络使用的拥有者,可将计算机网络分为( )
固定资产具有较差的变现性与( )
下列关于我国的教育法等级制定机关的说法正确的是( )
What does "symmetry" mean?
明年总降雨量在400 mm~ 600 mm之间的概率
常见的档案资料来源包括( )
成人教育模式的应用目的,是在教学中调动学生积极主动地参与教学活动,强调的是“________设计”。
PTSD通常是在灾害发生后的____个月内发病。
急诊的程序包括接诊、护理评估和()
对小婴儿心脏按压的频率为
➕
➖
📋
⬆️
已复制到剪贴板