翰林刷题,免费考试真题网站!
首页
关于我们
首页
›
分类
› 详情
____________
作者:高老师
时间:2024-07-28
浏览 0
____________
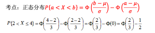
【正确答案】:
【题目解析】:
📱 扫码体验刷题小程序
扫一扫使用我们的微信小程序
热门题目
1928年12月,在东北宣布“改易旗帜”,归顺南京国民政府的是()
一对协调的舞伴,总是以____为主,____配合默契,才能动作轻松自如,富有和谐的音律美。
简送学前儿童数的组成与分解的教育方法。
审计报告的编写步骤。
什么是结算账户?结算账户可分为哪几类?
John is a very private person-for most of the time, he______hims
用西北角法则求运输问题初始解时,数字格的连接线就象一个______,所以把这种方法也叫______法或______法。
下列关于企业资产的表述中,正确的是
排他使用权
卖方信贷
充分竞争市场的显著特征是()
➕
➖
📋
⬆️
已复制到剪贴板