翰林刷题,免费考试真题网站!
首页
关于我们
首页
›
分类
› 详情
( )
作者:高老师
时间:2024-07-28
浏览 0
( )
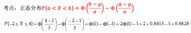
【正确答案】:0.6826
【题目解析】:
📱 扫码体验刷题小程序
扫一扫使用我们的微信小程序
热门题目
阅读下面材料:孔子与宪法,涉不相涉者也。吾今以此标题,宁非怪诞之尤。然于怪诞标题之前,久已有怪诞事实之发现……怪诞之事实者,何也
狭义的资本是指( )
下列属于团队沟通的影响因素的有( )
简述当代设计的内容和层次。
毛毛在娃娃家捣乱,老师告诉她随便打断别人的讲话或游戏,故意捣乱,会使人感到你讨厌,没礼貌,于是不愿理你。该教师使用的行为辅导方法
光谱方案
对于有市价的长期投资,下列中无须计提减值准备的有( )。
预测是___的基础,企业预测的目的就是为企业决策提供适当的数据或资料。
通过互联网能够超越时间约束和空间限制进行信息交换,这是网络营销特点的
主要适用于寄售、代销性质的进口商品的海关估价法是()
元人话本小说中艺术水平较高的是( )。
林昌彝《射鹰楼诗话》中“鹰”字的寓意是
➕
➖
📋
⬆️
已复制到剪贴板