Y服从区间[0,4]上的均匀分布。求:E(X)、D(X)、E(X+Y+3)
【正确答案】:

【题目解析】:
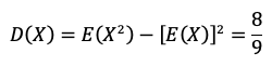
方差的计算公式为
Y服从区间[0,4]上的均匀分布,E(Y)=4/2=2。根据期望的性质,E(X+Y+3)=E(X+Y)+3=E(X)+E(Y)+3=8/3+2+3=23/3。
Y服从区间[0,4]上的均匀分布。求:
方差的计算公式为
Y服从区间[0,4]上的均匀分布,E(Y)=4/2=2。根据期望的性质,E(X+Y+3)=E(X+Y)+3=E(X)+E(Y)+3=8/3+2+3=23/3。📱 扫码体验刷题小程序
扫一扫使用我们的微信小程序