(X,Y)的概率密度f(x,y)。

作者:高老师 浏览 1

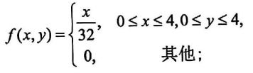
设随机变量X与Y相互独立,X的概率密度为Y服从区间[0,4]上的均匀分布。求:
(X,Y)的概率密度f(x,y)。
【正确答案】:



【题目解析】:

随机变量X与Y相互独立,f(x,y)=。故即:


📱 扫码体验刷题小程序

微信小程序二维码

扫一扫使用我们的微信小程序

热门题目

已复制到剪贴板