P{Y≤X}。

作者:高老师 浏览 0

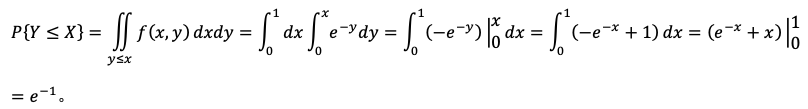
设随机变量X服从[0,1]上的均匀分布,随机变量Y服从参数为1的指数分布,且X与Y相互独立。求:
P{Y≤X}。
【正确答案】:



【题目解析】:

如下图,对y从0到x积分,对x从0到1积分。


📱 扫码体验刷题小程序

微信小程序二维码

扫一扫使用我们的微信小程序

热门题目

已复制到剪贴板