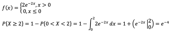
设随机变量X服从参数为2的指数分布,则P{X≥2}= .

作者:高老师 浏览 6

设随机变量X服从参数为2的指数分布,则P{X≥2}= .
【正确答案】:



【题目解析】:

随机变量X服从参数为2的指数分布,则


📱 扫码体验刷题小程序

微信小程序二维码

扫一扫使用我们的微信小程序

热门题目

已复制到剪贴板