翰林刷题,免费考试真题网站!
首页
关于我们
首页
›
分类
› 详情
作者:高老师
时间:2024-07-28
浏览 1
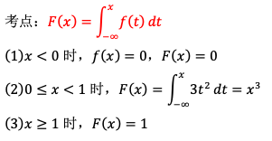
【正确答案】:
【题目解析】:
📱 扫码体验刷题小程序
扫一扫使用我们的微信小程序
热门题目
简述国家垄断资本主义的基本形式。
简述定期客户回访具体需注意的事项涉及的几个方面。
《俄狄浦斯王》
在罗杰斯看来,教师是
存货的内部控制内容,主要有
下列属于总会计报表附注应该披露的是( )
A公司为B公司的母公司。2015年A公司与B公司发生如下业务:1月1日,A公司向B公司平价发行面值为。100 000元的公司债券
下列属于企业对企业电子商务类型的是()
经国家批准开采或利用矿藏森木河流等资源的单位按规定向国家缴纳的管理费属于()。
剧本中的人物塑造,还有一个想当重要的特点,就是要通过戏剧的____来刻画人物。
下列诗人中,擅长七言歌行的有
激励的方法有哪些?试举例说明。
➕
➖
📋
⬆️
已复制到剪贴板