翰林刷题,免费考试真题网站!
首页
关于我们
首页
›
分类
› 详情
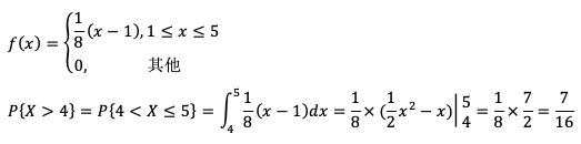
P{X>4}
作者:高老师
时间:2024-07-28
浏览 0
P{X>4}
【正确答案】:
【题目解析】:
📱 扫码体验刷题小程序
扫一扫使用我们的微信小程序
热门题目
资本主义地租主要有相对地租和绝对地租两种形式。
在劳动力市场上,某些劳动力即使完全有能力胜任,却因非经济的个人特征而导致被限制或禁止进入某些职业,或被排挤到统一职业中的过低档次
Passage ThreeChristopher Columbus was born in Genoa, Italy in 14
盘点法一般分为
国有资本经营预算应当按照收支平衡的原则编制,不列赤字,并安排资金调入一般公共预算。
It was midsummer. It looked as if the whole town were in the wat
设存在数组a,其长度为Len,则下列哪项泛型算法用于在a中寻找值Value的位置
假设类F的对象f是类A的成员对象,则“A a”语句执行时,先调用类____________的构造函数。
第二次世界大战后,国际分工向纵深发展,其特点包括
护士长的管理艺术包括( )
宫缩乏力的原因有()
有关急性感染性喉炎的护理不正确的是 ( )
➕
➖
📋
⬆️
已复制到剪贴板