E(X)、D(X)

作者:高老师 浏览 2

设随机变量X的概率密度为
求:
E(X)、D(X)
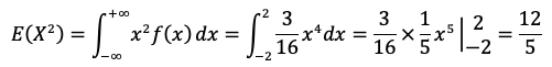
【正确答案】:



【题目解析】:

连续型随机变量求期望:方差的计算公式为:因此还需要求出


📱 扫码体验刷题小程序

微信小程序二维码

扫一扫使用我们的微信小程序

热门题目

已复制到剪贴板