翰林刷题,免费考试真题网站!
首页
关于我们
首页
›
分类
› 详情
求a的值
作者:高老师
时间:2024-07-28
浏览 0
随机变量X的概率密度为
求a的值
【正确答案】:
A=π
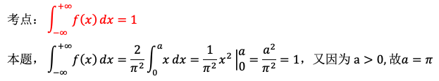
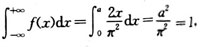
【题目解析】:
📱 扫码体验刷题小程序
扫一扫使用我们的微信小程序
热门题目
劳动力成为商品的基本条件有( )
____主要是指接待来宾时使用规范化的问候用语。
下列各项中,肯定错误的是
某一项年金前4年没有流入,后5年每年年初流入1 000元,则该项年金的递延期是
哪一项是”火“的平假名。( )
不含任何数据元素的栈称为______。
Answer the following questions.The basic word stock has five obv
下列哪些商品的税负容易转嫁()
简析《上海屋檐下》的结构艺术。
______是指护士管理人、财、物及信息的能力。
关节僵硬可见于
预防尿路结石形成最有效的方法是()
➕
➖
📋
⬆️
已复制到剪贴板