翰林刷题,免费考试真题网站!
首页
关于我们
首页
›
分类
› 详情
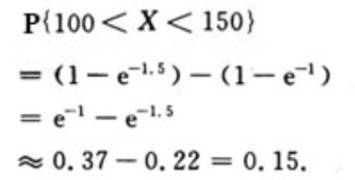
求P{100<X<150}
作者:高老师
时间:2024-07-28
浏览 0
求P{100<X<150}
【正确答案】:
【题目解析】:
📱 扫码体验刷题小程序
扫一扫使用我们的微信小程序
热门题目
证券公司经营融资融券业务,应当具备的条件有( )。Ⅰ.证券公司治理结构健全,内部控制有效Ⅱ.风险控制指标符合规定,财务状况、合规
以下选项中属于高成就需要者具有的特征的是( )
在正态分布的情况下,变量值的分布是()
公司资产周转运行的能力是()
简述控制的作用。
市场机制在社会资源配置中发挥作用的条件有哪些?
The real success of ______ came with Under the Greenwood Tree in
When a word was created, it was endowed with only one meaning, W
最早的京剧改良艺术家汪笑侬原名( )
沈从文湘西题材小说的特点是
辛弃疾《清平乐》(茅檐低小)运用的主要表现手法是
简述社会网络的特征。
➕
➖
📋
⬆️
已复制到剪贴板