翰林刷题,免费考试真题网站!
首页
关于我们
首页
›
分类
› 详情
作者:高老师
时间:2024-08-06
浏览 1
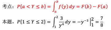
【正确答案】:
【题目解析】:
📱 扫码体验刷题小程序
扫一扫使用我们的微信小程序
热门题目
1949年政协会议上选举的中央人民政府主席是()
名词解释:扩张型财务战略
简述计划经济体制下,国有企业存在的弊端。
内部公平
国民待遇属于世界贸易组织基本原则中的()
10BASE-T和100BASE-T相比,以下说法不正确的是()
“The birds sing to welcome the smiling year.” is an example of _
Under no circumstances( )betray our friends for personal benefit
问取何值时,齐次线性方程组有非零解。
品种法的成本计算对象是 【 】
企业按照消费者对品牌(或商店)的忠诚度来细分消费者市场,采用的市场细分依据是
质量管理人员薪酬属于
➕
➖
📋
⬆️
已复制到剪贴板