翰林刷题,免费考试真题网站!
首页
关于我们
首页
›
分类
› 详情
作者:高老师
时间:2024-07-28
浏览 0
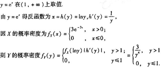
【正确答案】:
【题目解析】:
📱 扫码体验刷题小程序
扫一扫使用我们的微信小程序
热门题目
拜访是指亲自到____或____去拜见某人。可分为____和____两种。
最早对智力问题进行探讨,提出智力二因素论的心理学家是()
60年代中期至80年代初,苏联文坛涌现出的道德题材的优秀作品有()
你应为学生成长档案中所有的陈述提供支撑材料。
5~6岁幼儿能参加较复杂的集体游戏和活动,说明幼儿注意的()。
简述学前儿童家长教育能力的概念与类别。
下列属于民间审计法定业务的是
These eggs have 【a unique】 odor that can be an advantage or a di
简述DBMS中完整性子系统的主要功能。
假定a是一个一维指针数组,则a+i所指对象的地址比a大______字节。
若国际市场上某种汽车的售价为每辆100000美元,某进口国的国内市场相同汽车的价格在关税保护(征收关税30%)下为每辆12000
➕
➖
📋
⬆️
已复制到剪贴板