翰林刷题,免费考试真题网站!
首页
关于我们
首页
›
分类
› 详情
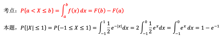
求P{|X|≤1}
作者:高老师
时间:2024-07-28
浏览 0
求P{|X|≤1}
【正确答案】:
【题目解析】:
📱 扫码体验刷题小程序
扫一扫使用我们的微信小程序
热门题目
简述全部的营利性关系顾客类型。
下列属于属于资本运营创新的是()。
如果每年年末等额还本付息,计算每年年末应还本息额;
下列属于正式组织特点的有( )
论证是由论题、论据和_____三个要素构成的。
完全竞争厂商长期均衡时()
将会计信息划分为财务信息和非财务信息的依据是()
根据账户按用途和结构的分类,下列账户中不属于调整账户的是( )。
下面哪一项不属于国际收支平衡表中的经常项目的范围()
题干和原文一致的请选择〇,不一致的请选择X,(在正式考试中,需要手写〇或者X)「私」は日本で看護婦として働いたことをいつまでも忘
On a Loan that is legal, the courts will allow a lender to colle
随着产量的增加,总固定成本曲线将
➕
➖
📋
⬆️
已复制到剪贴板