翰林刷题,免费考试真题网站!
首页
关于我们
首页
›
分类
› 详情
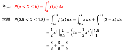
求P{0.5<X≤1.5}
作者:高老师
时间:2024-07-28
浏览 1
求P{0.5
【正确答案】:
【题目解析】:
📱 扫码体验刷题小程序
扫一扫使用我们的微信小程序
热门题目
编制压路机台班使用定额时,属于必须消耗的时间的是( )。
在实数范围内,下列函数中为有界函数的是()
以下不属于趋中分析法的是( )。
名词解释:销售收据
请从“美誉度”方面简述企业声誉的内涵。
绝对优势
教师应当履行的义务包括( )
针对“两个或两个以上国家对同一税源的所得在具有某种经济联系的不同纳税人手中各征一次税的现象”,下列说法正确的是( )
根据我国《技术进出口管理条例》,国际技术贸易合同分为( )。
产品规格化战略分为( )。
法约尔对下列哪些管理的职能进行了阐述
肩周炎患者康复护理中正确的是
➕
➖
📋
⬆️
已复制到剪贴板