翰林刷题,免费考试真题网站!
首页
关于我们
首页
›
分类
› 详情
作者:高老师
时间:2024-07-28
浏览 1
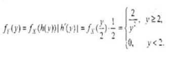
【正确答案】:
【题目解析】:
📱 扫码体验刷题小程序
扫一扫使用我们的微信小程序
热门题目
试述激励机制的原则和方法。
决定债券发行价格的因素主要有( )
凯恩斯绝对收入假定表明
学前教育管理体制是学前教育管理机构和学前教育管理规范的结合统一体,它包括学前教育行政体制和_______ 两个部分。
What are the standards for classification of high-income,middle-
简述数据库的可恢复性的定义
下列不属于按业务类别分类的原始凭证是 ( )
企业会计机构内部的分工有多种设计模式,一般的设计模式有
王粲《七哀诗》“豺虎方遘患”,“豺虎”指作乱的军队,他们属于()
简述围绝经期综合征妇女预防骨质疏松的措施。
儿童所处的家庭环境也会带来其身心发展的特点,譬如,经济发达社区和经济落后社区。
甲、乙同在某公司工作。某日上班时,甲因疏忽大意,操作不当,致使乙左腿伤残。有关该事件的处理意见中正确的是( )
➕
➖
📋
⬆️
已复制到剪贴板