翰林刷题,免费考试真题网站!
首页
关于我们
首页
›
分类
› 详情
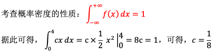
求常数 c
作者:高老师
时间:2024-07-28
浏览 0
求常数 c
【正确答案】:
【题目解析】:
📱 扫码体验刷题小程序
扫一扫使用我们的微信小程序
热门题目
内部控制的局限性具体表现在哪些方面?
宴会上,主人为客人斟酒,除了对“贵宾”优先外,一般顺序是依照
简述积累和消费的关系对宏观经济运行的影响。
我国医疗保险改革应注意的问题 1.既要保障职工的基本医疗又要充分考虑财政、企业的 ( ) ; 2.既要加大对个人的(
高技派风格
下列各项中,属于投资性房地产的有( )
儿童出现最初的独立性是在( )
我国注册会计师独立审计准则的第二层次包括
opening bank
简析《苏秦始将连横说秦》中苏秦的性格特征。
下列各组复合词中,构词方式相同的一组是()
概率抽样方法包括( )
➕
➖
📋
⬆️
已复制到剪贴板