翰林刷题,免费考试真题网站!
首页
关于我们
首页
›
分类
› 详情
求
作者:高老师
时间:2024-07-28
浏览 0
求
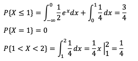
【正确答案】:
【题目解析】:
📱 扫码体验刷题小程序
扫一扫使用我们的微信小程序
热门题目
名义工资的变动趋势是
零售商业的第四次革命的标志是( )的出现
凡尔纳(写出国籍、创作领域、代表作)
搭便车现象是针对下面哪个问题的一种形象的比喻()
国民待遇
考虑到成本问题,他们不得不拒绝采纳这个建议。
传统的集合运算不包括()
会计分析制度具有的特点有()
下列方法中,既是一种产品成本方法,又是一种成本控制方法的是()
大众社会中的一种普遍存在的心理现象,对个人或群体发生一定的影响,可以约束个人或群体行为的是
若已知一个栈的输入序列为1,2,3…,n,其输出序列为P1,P2,…,Pn。若P1=n,则 Pi为
➕
➖
📋
⬆️
已复制到剪贴板