翰林刷题,免费考试真题网站!
首页
关于我们
首页
›
分类
› 详情
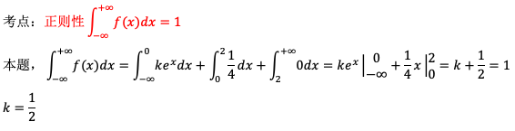
求系数k的值
作者:高老师
时间:2024-07-28
浏览 0
求系数k的值
【正确答案】:
【题目解析】:
📱 扫码体验刷题小程序
扫一扫使用我们的微信小程序
热门题目
传统商务与电子商务的正确关系应该是( )
斯托夫人的代表作是()
凯恩斯的消费函数研究的是宏观经济中的消费需求与之间的关系。()
Does it pay to make sacrifices for children?
获取审计证据的程序有哪些
既是行情变化的重要特征,又是人们经常关心行情变化原因的是行情的( )
有限责任公司和股份有限责任公司之间的差别是()
技术活动是企业生产经营的一个重要活动,企业技术的功能主要表现为()
按照产品技术的来源划分,企业国际化经营战略可分为()。
《项脊轩志》写大家庭分崩离析的征象有
目前我国护理学专业硕士研究生教育的学习期限一般为( )
对磁盘进行旋转调度的目的是缩短( )时间。
➕
➖
📋
⬆️
已复制到剪贴板