求Y的分布函数及概率密度

作者:高老师 浏览 0

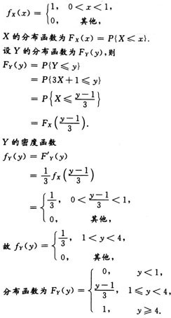
已知X服从[0,1]上的均匀分布,Y=3X+1
求Y的分布函数及概率密度
【正确答案】:



【题目解析】:

由于X~U[0,1],则可得X的分布函数和概率密度函数,根据X与Y的关系可求得Y的分布函数和概率密度函数


📱 扫码体验刷题小程序

微信小程序二维码

扫一扫使用我们的微信小程序

热门题目

已复制到剪贴板