翰林刷题,免费考试真题网站!
首页
关于我们
首页
›
分类
› 详情
————。
作者:高老师
时间:2024-07-28
浏览 0
————。
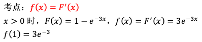
【正确答案】:
【题目解析】:
📱 扫码体验刷题小程序
扫一扫使用我们的微信小程序
热门题目
在经济复苏时期,增减人员的决策,并不是以短期利润最大化为依据,而是( )。
自利与利他的矛盾主要体现在( )
如果工作进展顺利,管理者的压力能够极大减轻,他们就只需把时间用来察看有问题的地方,这就是
简述学前儿童科学教育目标的要素。
如果子公司是母公司的全资子公司,母公司编制合并会计报表进行抵消处理时,可能涉及的会计科目有
试编写在带头结点的单链表上实现线性表基本运算定位和删除的算法。
将通货膨胀分为温和的通货膨胀和恶性的通货膨胀是按_____标准进行分类的。
戴望舒《我用残损的手掌》收入作品集
公共关系的过程和方式是
企业通过流水线方式进行大规模生产,使产品价格低于竞争对手。这是下列哪种战略类型的特征?()
广告不仅有促进产品销售、激活市场等功能,而且还有增加消费者生活知识、改变消费者生活习惯、丰富消费者文化生活、提高消费者艺术品位与
运输的功能是:______和______。
➕
➖
📋
⬆️
已复制到剪贴板