翰林刷题,免费考试真题网站!
首页
关于我们
首页
›
分类
› 详情
作者:高老师
时间:2024-07-28
浏览 0
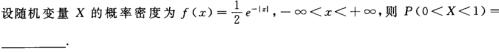
【正确答案】:
【题目解析】:
📱 扫码体验刷题小程序
扫一扫使用我们的微信小程序
热门题目
中国近代史的开端是( ),并以此为标志,中国由封建社会逐步演变成为半殖民地半封建社会。
绩效评估的投入指标有
回归方程y=b 0 -b 1 x中的b 0 表示()
某地产公司借助微信平台吸引民众参与销售,并对其房产存货采取了打折优惠措施,明显提升了销售业绩。以上表述涉及到的市场营销组合战略包
Anne: My husband and I are going abroad to have a travel tomorro
根据员工出勤率进行人事管理的控制方法是
简述资产的定义及其确认条件。
五至十年的经营目标称为( )
第一个国家学前教育的正式规划是( )
在教育实践中对儿童进行最基本的、入门式的教育,为其以后的学习和发展打下初步的基础,这是学前教育的( )
课题项目确定后,要根据研究的任务
下列应计入产品生产成本的费用是
➕
➖
📋
⬆️
已复制到剪贴板