翰林刷题,免费考试真题网站!
首页
关于我们
首页
›
分类
› 详情
————
作者:高老师
时间:2024-07-28
浏览 0
————
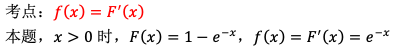
【正确答案】:
【题目解析】:
📱 扫码体验刷题小程序
扫一扫使用我们的微信小程序
热门题目
企业集团的功能的有哪些?
简述内部沟通文件的要求。
明确规定会计核算空间范围的基本假设是( )。
下列是法国学前教育发展趋势之一是( )
主张让儿童把被压抑在潜意识中的早期创伤和痛苦体验暴露出来的游戏治疗理论是( )
在下列各式的括号内填入适当的符号,使之成为有效的三段论式。
简述增值税的特点。
以下不属于北美自由贸易区的国家的是()
____和____为路由选择算法提供了一种衡量标准。
#include < iostream > using namespace std; class A { priva
在确定审计程序后,如果注册会计师决定接受更低的重要性水平,审计风险将增加,注册会计师应当选用下列方法将审计风险降至可接受的低水平
影响国债规模的因素不包括( )
➕
➖
📋
⬆️
已复制到剪贴板