翰林刷题,免费考试真题网站!
首页
关于我们
首页
›
分类
› 详情
设随机变量X的概率密度为( )
作者:高老师
时间:2024-07-28
浏览 1
设随机变量X的概率密度为( )
【正确答案】:X^2
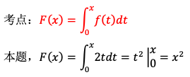
【题目解析】:
📱 扫码体验刷题小程序
扫一扫使用我们的微信小程序
热门题目
被誉为“两弹元勋”的科学家是()
企业常用的差别定位策路有
在做买卖时,姑娘中最顺利的一个是()
阅读《五代史伶官传序》中的一段文字,回答问题:盛衰之理,虽日天命,岂非人事哉!原庄宗之所以得天下,与其所以失之者,可以知之矣。(
关于商业汇票,下列的描述错误的是()
保傅制度
关于婴幼儿触觉的表述,下列选项中()是正确的。
乙公司于2008年1月1日向甲公司购入一批材料,价值400 000元(包括应支付的增值税),按购销合同约定,乙公司应于2008年
The root of the word “antecedent” is( )
若矩阵A与B可以相加,则必有
简述资产的含义。
下列属于经济特区形式的是()
➕
➖
📋
⬆️
已复制到剪贴板