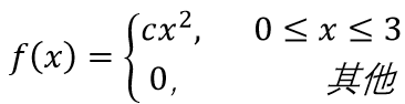
设随机变量X的概率密度,则常数c=

作者:高老师 浏览 0

设随机变量X的概率密度,则常数c=


A、1/9
B、1/3
C、3
D、9
【正确答案】:A
【题目解析】:

📱 扫码体验刷题小程序

微信小程序二维码

扫一扫使用我们的微信小程序

热门题目

已复制到剪贴板