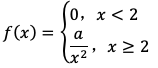
设随机变量X的概率密度函数是,则a=( )

作者:高老师 浏览 0

设随机变量X的概率密度函数是,则a=( )


A、0.5
B、1
C、2
D、ln2
【正确答案】:C
【题目解析】:

📱 扫码体验刷题小程序

微信小程序二维码

扫一扫使用我们的微信小程序

热门题目

已复制到剪贴板