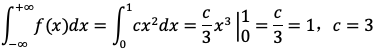
设随机变量X的概率密度为,则常数c=( )

作者:高老师 浏览 0

设随机变量X的概率密度为,则常数c=( )


A、1/3
B、1/2
C、2
D、3
【正确答案】:D
【题目解析】:

概率密度的性质有:对于本题:


📱 扫码体验刷题小程序

微信小程序二维码

扫一扫使用我们的微信小程序

热门题目

已复制到剪贴板