翰林刷题,免费考试真题网站!
首页
关于我们
首页
›
分类
› 详情
作者:高老师
时间:2024-07-28
浏览 0
A、1/4
B、1/2
C、3/4
D、1
【正确答案】:A
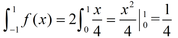
【题目解析】:
📱 扫码体验刷题小程序
扫一扫使用我们的微信小程序
热门题目
确定广告预算的百分率法有
同一申请人自其发明在中国第一次提出专利申请之日起一定期限内,又向国务院专利行政部门就相同主题提出专利申请的,可以享有优先权。该优
根据个体价格指数和报告期销售额计算的价格总指数是
影响就业的因素有( )
为了完成正常组织之外的任务的团队,其成员一般是从不同部门和岗位抽调的人员构成的,这种团队类型是( )。
关于伦理与法律的关系描述正确的是( )
在凯恩斯经济学中,()理论是其整个理论基础。
分配职工福利费,贷记“应付职工薪酬-职工福利”账户,借记账户可能是( )
对存储管理,( )等寄存器是硬件中设置的用于地址转换或保护的控制寄存器。
下列财务指标中,最能反映企业能够及时偿付短期债务能力的是
1个字节由( )位二进制数构成.
群体预测的预测误差通常不超过
➕
➖
📋
⬆️
已复制到剪贴板