翰林刷题,免费考试真题网站!
首页
关于我们
首页
›
分类
› 详情
作者:高老师
时间:2024-07-28
浏览 0
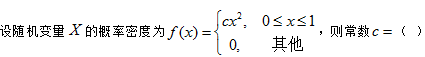
A、1/3
B、1/2
C、2
D、3
【正确答案】:D
【题目解析】:
📱 扫码体验刷题小程序
扫一扫使用我们的微信小程序
热门题目
《纲要》在“教育内容与要求”中明确规定:“幼儿园的教育内容是全面的、启蒙性的、可以相对划分为( )等五个领域。”
武昌蒙养院
新科技成果的经济效益减去对照的经济效益大于零时,科学成果才具有(相对经济效益)。
ひる对应的汉字是( )
在MySQL中,可以使用( )创建数据库。
下列属于中烈度贸易制裁的特点的是()
分析人员根据各有关成本明细账的发生额,结合其与业务量的依存关系,对每项成本的具体内容进行直接分析,使其分别归人固定成本或变动成本
简述实施保障措施的法律条件。
简述公关策划的作用。
补充维生素D促进钙、______的吸收和储备,是预防佝偻病的关键。
新闻专业主义是西方资本主义国家新闻学的重要概念,最早兴起于
广告道德规范是指广告主、广告经营者和广告发布者应当遵循的基本的()。
➕
➖
📋
⬆️
已复制到剪贴板