翰林刷题,免费考试真题网站!
首页
关于我们
首页
›
分类
› 详情
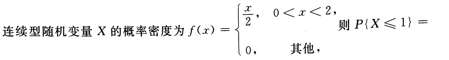
()
作者:高老师
时间:2024-07-28
浏览 0
()
A、0.25
C、0.5
D、1
【正确答案】:A
【题目解析】:
📱 扫码体验刷题小程序
扫一扫使用我们的微信小程序
热门题目
金融债券的发行目的主要包括( )。Ⅰ.筹资用于某种特殊用途Ⅱ.改变金融机构本身资产负债结构Ⅲ.提高被动负债Ⅳ.引进战略投资者
下列各项正确表述意识本质的有()
简述客户关系管理的作用。
系统设计中常用的人机界面类型主要有()
公务员的_____不以机关的人事处理决定的存在为前提条件。( )
根据下反对关系,由“可能p”可以得到 。
估计存货价值时常用的方法有( )。
国际收支顺差国可以将其外汇储备投放于欧洲货币市场,这体现了欧洲货币市场什么样的特点()
企业的经济活动目的是()
Eclipse最初主要用来进行 ( ) 语言开发,但Eclipse并非只有这个用途。
以下选项中全部是计算机输入设备的是( )
以下区域经济一体化组织中,一体化程度最高的是( )
➕
➖
📋
⬆️
已复制到剪贴板