翰林刷题,免费考试真题网站!
首页
关于我们
首页
›
分类
› 详情
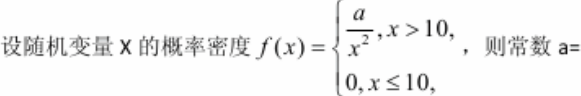
( )
作者:高老师
时间:2024-07-28
浏览 1
( )
A、-10
B、-1/500
C、1/500
D、10
【正确答案】:D
【题目解析】:
📱 扫码体验刷题小程序
扫一扫使用我们的微信小程序
热门题目
2001年,中国正式加入世界贸易组织后形成的对外开放格局有( )
功能上相关的,已标识、命名和结构化的简单数据元和/或复合数据元的集合是( )
企业并购按照并购形式是否受到法律规范强制来分,可以分为( )
名词解释:伦理
组织的效率
剪贴板是个临时存储区,它是属于什么的一部分
属于社会保障的特殊纲领的是()
划分品质数列和变量数列的依据是( )
蒙台梭利所强调的教育目的主要分为
如何理解马克思所说的“劳动”?
IV.Answer the following essay question in English within 80-100
Passage 1Today, the Internet is changing the way business transa
➕
➖
📋
⬆️
已复制到剪贴板