翰林刷题,免费考试真题网站!
首页
关于我们
首页
›
分类
› 详情
作者:高老师
时间:2024-07-28
浏览 1
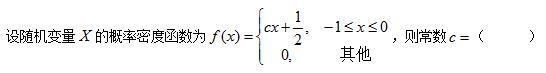
A、-3
B、-1
C、-1/2
D、1
【正确答案】:B
【题目解析】:
答案为B
📱 扫码体验刷题小程序
扫一扫使用我们的微信小程序
热门题目
在社会主义民主政治建设方面,毛泽东提出的主要观点是什么?
激进式变革
简述国际生产折中理论。
在合同管理的考核中,企业要明确考核对象;还要科学考核,将( )相结合。
某事业单位转账支付罚没款1200元。预算会计记账( )
The toilet is so dirty that it needs a good().
价值创新战略是基于
网络维护的主要目的是保证通信的顺畅和网络的______。
市场营销策划的内容包括什么?
行政许可在制定和实施过程中要充分保障相对人的陈述权、申辩权等权利,体现了行政许可的
新闻纸供不应求时,其期末储备量一般为全年用纸量的( )
()是网络媒体最显著的传播优势。
➕
➖
📋
⬆️
已复制到剪贴板