求P{0<X<1},P{1.5<X≤3}

作者:高老师 浏览 1

连续型随机变量X的分布函数为
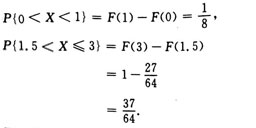
求P{0【正确答案】:



【题目解析】:

本题考查概率分布函数的意义,


📱 扫码体验刷题小程序

微信小程序二维码

扫一扫使用我们的微信小程序

热门题目

已复制到剪贴板