下列函数中可作为随机变量分布函数的是( )

作者:高老师 浏览 1

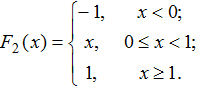
下列函数中可作为随机变量分布函数的是( )
A、
B、
C、
D、
【正确答案】:C
【题目解析】:考查分布函数的性质:F(-∞)=0,F(+∞)=1。对于B选项,不满足F(-∞)=0;对于A、D选项,不满足F(+∞)=1.答案为C

📱 扫码体验刷题小程序

微信小程序二维码

扫一扫使用我们的微信小程序

热门题目

已复制到剪贴板