X的分布函数F(x)。

作者:高老师 浏览 0

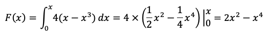
设随机变量X的概率密度为求:
X的分布函数F(x)。
【正确答案】:



【题目解析】:当x<0时,f(x)=0,F(x)=0,当0≤x<1时,当x≥1,F(x)=1。

📱 扫码体验刷题小程序

微信小程序二维码

扫一扫使用我们的微信小程序

热门题目

已复制到剪贴板