翰林刷题,免费考试真题网站!
首页
关于我们
首页
›
分类
› 详情
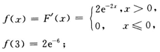
求f(3)
作者:高老师
时间:2024-07-28
浏览 3
求f(3)
【正确答案】:
【题目解析】:
📱 扫码体验刷题小程序
扫一扫使用我们的微信小程序
热门题目
试述问卷的设计形式及主要优缺点。
简述文稿的打印方法。
古代巴比伦文学的最高成就是史诗( )
领导干部任职试用期为
消费者的支出不仅受自己目前收入水平的影响,而且受过去的收入水平和消费水平的影响是指消费者行为的()
在弗洛伊德的人格结构中,最原始、最本能、最难接近的部分是
“没有一个爱国者不是反对国家分裂的。”这是()
评价软件达到的质量水平,必须在每个开发阶段的最后进行评价,评价的依据是每个开发阶段所应提交的文件,其中在实现阶段应提交的文件有【
鉴证业务的基本原则、态度和规范的执行体现在鉴证业务的()
简述概念模型中的一对一联系。
《关汉卿》的结构方式是()
阅读《我的家在哪里》课堂教学实录,结合课例完成后面的题目。《我的家在哪里》教学实录师:今天,我和大家一起学习冰心的一篇散文,《我
➕
➖
📋
⬆️
已复制到剪贴板