翰林刷题,免费考试真题网站!
首页
关于我们
首页
›
分类
› 详情
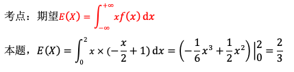
E(X)
作者:高老师
时间:2024-07-28
浏览 0
E(X)
【正确答案】:
【题目解析】:
📱 扫码体验刷题小程序
扫一扫使用我们的微信小程序
热门题目
自然人因出国定居向受赠人赠与公司职工办理非交易过户的内容有( )。Ⅰ.申请人填写“股份非交易过户申请表”Ⅱ.申请人委托他人代办的
俗话说:“听其言, 观其行,而知其人这就是说 ,我们认识一个人耍根据他的言论和行为, 这里所说的是社会知觉中的( )
长期股权投资的成本法和权益法各自的适用范围是什么?
乳婴儿自制行为的发展包括吃、睡和________。
环节动物属于( )动物
可变分区存储管理的主存分配算法中,查找次数最少的是
简述系统自行开发方式的优、缺点。
以下属于买方违约的行为有
曾朴是介绍翻译法国文学的拓荒者和奠基人,他翻译的作品有
测得某一晶体管的IB=10A,IC=1mA,能否确定它的电流放大系数?什么情况下可以,什么情况下不可以?
下列哪些学科与数理统计相交叉结合产生教育统计学
现在很多城市的交通卡不仅能乘坐公交,也可实现公共自行车租借等其他功能。请以城市交通卡为例,分析:(1)该案例可划1哪些电子货币类
➕
➖
📋
⬆️
已复制到剪贴板