翰林刷题,免费考试真题网站!
首页
关于我们
首页
›
分类
› 详情
作者:高老师
时间:2024-07-28
浏览 0
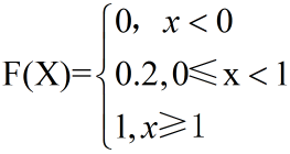
【正确答案】:
【题目解析】:
📱 扫码体验刷题小程序
扫一扫使用我们的微信小程序
热门题目
结构化系统开发方法的开发标准包括
因特网中,传输介质可分为:有线介质和_______ 。
学前教育机构的信息环境
简述科学发现室提供的材料应具有的特点。
下列选项中,不适用于《中华人民共和国税收征收管理法》的是
The word paper means"government document"in____
()是指被审计单位管理层对审计报表组成要素的确认、计量、列报作出的明确或隐含的表达。
在开发管理信息系统的过程中,正确的工作次序为( )。
美国全权经营海外投资保险业务的是 ( )
下列关于隐血试验膳食的叙述,错误的是【】
当模块A直接修改或操作模块B的数据,则模块A与模块B的关系是()。
简述结构上的作用、荷载和间接作用的概念
➕
➖
📋
⬆️
已复制到剪贴板