翰林刷题,免费考试真题网站!
首页
关于我们
首页
›
分类
› 详情
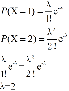
参数λ的值
作者:高老师
时间:2024-07-28
浏览 0
参数λ的值
【正确答案】:
【题目解析】:
📱 扫码体验刷题小程序
扫一扫使用我们的微信小程序
热门题目
SWOT分析法
设2sin(x+2y-3z)=x+2y-3x,证明:∂z/∂x+∂z/∂y=1.
通常所说的第三代计算机采用的电子器件是
调整企业的资本结构,减少负债资金的比例,可以()
试述学前儿童心理发展的连续性与阶段性。
下列对通信系统进行差错控制的原因描述不正确的是( )
建立新系统的逻辑模型,首先要确定合理的业务处理流程,指出哪些部分新系统可以完成,哪些部分需要用户完成,也就是要确定配合方案。
电子会议系统通过卫星把不同城市的会议室联结起来,出席会议的人可能在屏幕上显示,互相自由交谈,是由____________提供的功
Correct or improve the translation of the following Chinese sent
设二维随机变量(X,Y)的概率密度为则常数c=( )
启动外围设备,首先要根据设备特性编制____,然后执行____指令才能使外围设备工作。
法律的本质是
➕
➖
📋
⬆️
已复制到剪贴板