设随机变量X服从参数为λ的泊松分布,随机变量Y服从二项分布B(2,1/2),且满足P{X=0}=P{Y=0},则λ=( )。

作者:高老师 浏览 1

设随机变量X服从参数为λ的泊松分布,随机变量Y服从二项分布B(2,1/2),且满足P{X=0}=P{Y=0},则λ=( )。
【正确答案】:LN4
【题目解析】:

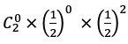
随机变量X服从参数为λ的泊松分布,则P{X=0}=。随机变量Y服从二项分布B(2,1/2),则P{Y=0}==1/4P{X=0}=P{Y=0},即,解得λ=ln4


📱 扫码体验刷题小程序

微信小程序二维码

扫一扫使用我们的微信小程序

热门题目

已复制到剪贴板