
若一个电子仪器中装有3个独立工作的这种晶体管,在使用150小时内恰有一个晶体管损坏的概率是多少?
【正确答案】:

【题目解析】:
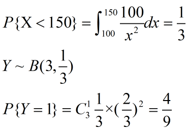
(1)求出晶体管在150小时内损坏的概率:
(2)根据题目,3个独立晶体管,每个晶体管在150小时内损坏的概率均为1/3,假设Y为3个晶体管在150小时内损坏的个数,则Y~B(3,1/3)
150小时内恰有一个晶体管损坏的概率:


(1)求出晶体管在150小时内损坏的概率:
(2)根据题目,3个独立晶体管,每个晶体管在150小时内损坏的概率均为1/3,假设Y为3个晶体管在150小时内损坏的个数,则Y~B(3,1/3)
150小时内恰有一个晶体管损坏的概率:
📱 扫码体验刷题小程序
扫一扫使用我们的微信小程序