在检验中若发现不合格品数多于1个,就需调整设备,问调整设备的概率是多少?(计算取小数点后四位)

作者:高老师 浏览 0

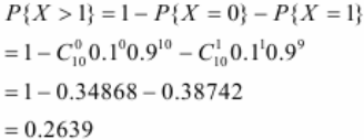
设某产品的不合格品率为0.1,每次随机抽取10件进行检验,记X为每次检验中不合格品的个数。
在检验中若发现不合格品数多于1个,就需调整设备,问调整设备的概率是多少?(计算取小数点后四位)
【正确答案】:



【题目解析】:

📱 扫码体验刷题小程序

微信小程序二维码

扫一扫使用我们的微信小程序

热门题目

已复制到剪贴板