若该顾客一个月内要去银行5次,以Y表示他未等到服务而离开窗口的次数,即事件{X>9}在5次中发生的次数,试求P{Y=0}.

作者:高老师 浏览 1



若该顾客一个月内要去银行5次,以Y表示他未等到服务而离开窗口的次数,即事件{X>9}在5次中发生的次数,试求P{Y=0}.
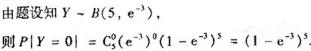
【正确答案】:



【题目解析】:

📱 扫码体验刷题小程序

微信小程序二维码

扫一扫使用我们的微信小程序

热门题目

已复制到剪贴板