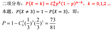
X~B(4,1/3),则P{X≠3}=( ).

作者:高老师 浏览 1

X~B(4,1/3),则P{X≠3}=( ).
【正确答案】:73/81
【题目解析】:

📱 扫码体验刷题小程序

微信小程序二维码

扫一扫使用我们的微信小程序

热门题目

已复制到剪贴板