3次投掷恰好出现两次反面的概率

作者:高老师 浏览 0

重复投掷一枚不均匀的硬币3次,若至少出现一次反面的概率为19/27,求:
3次投掷恰好出现两次反面的概率
【正确答案】:



【题目解析】:

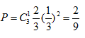
第一问得出:出现正面的概率为2/3,那么出现反面的概率为1/3。“恰好出现两次反面”就是“一次正面,两次反面”


📱 扫码体验刷题小程序

微信小程序二维码

扫一扫使用我们的微信小程序

热门题目

已复制到剪贴板